高分子材料在自然环境中暴露,就会逐渐发生老化,引起老化的外界因素有日光、臭氧、氧、雨、雪、温度、湿度等。太阳光辐射的紫外光能量是引发高分子材料光氧老化的主要因素。因此,高分子材料的紫外光降解行为与机理研究显得尤为重要。聚对苯二甲酸乙二醇酯-1,4-环己烷二甲醇酯(PETG)是一种新型共聚酯,而关于PETG的紫外光降解行为与机理研究较少。
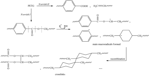
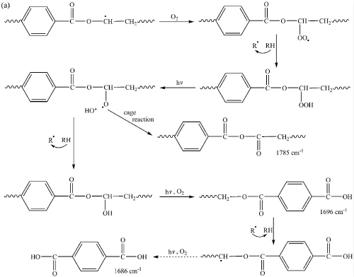
近期,协同创新中心先进高分子膜材料团队张军老师课题组研究生陈婷婷等人报道了不同组成的PETG共聚酯的紫外光降解行为和机理,主要研究共聚酯中不同1,4-环己烷二甲醇(CHDM)含量对PETG紫外光降解行为与机理的影响。通过凝胶含量测定紫外光辐照后PETG的交联程度,以及通过FTIR和XPS研究紫外光辐照前后PETG表面基团的变化来推测不同组成的PETG共聚酯的紫外光降解机理,进一步根据FTIR光谱中产生的新峰来推测PETG的紫外光氧化进程。研究表明,PETG共聚酯的光氧化速率随着CHDM含量的增加而增加,即PETG固有的光稳定性随着CHDM含量的增加而下降。不同组成的PETG共聚酯表现出相似的紫外光降解机理,且CHDM的存在会促进光氧化产物的生成。在辐照过程中形成的交联产物不会被进一步氧化,且CHDM含量越高,交联程度越大。该工作近期发表在RSC Advances上(DOI: 10.1039/C6RA21985C)。
该工作得到了江苏先进无机功能复合材料协同创新中心和江苏省优势学科的资助和支持。






文章链接:http://pubs.rsc.org/en/content/articlelanding/2016/ra/c6ra21985c#!divAbstract
文章附件: RSC Advances.pdf
|